PGEgaHJlZj0iaHR0cHM6Ly9oeXVuZGFpLmh1L21vZGVsbGVrLz91dG1fc291cmNlPXZpbGxhbnlhdXRvc29rX2tvbmEtaW9uaXE1JnV0bV9tZWRpdW09dmlsbGFueWF1dG9zb2tfa29uYS1pb25pcTUmdXRtX2NhbXBhaWduPXZpbGxhbnlhdXRvc29rX2tvbmEtaW9uaXE1JnV0bV9pZD12aWxsYW55YXV0b3Nva19rb25hLWlvbmlxNSZ1dG1fdGVybT12aWxsYW55YXV0b3Nva19rb25hLWlvbmlxNSZ1dG1fY29udGVudD12aWxsYW55YXV0b3Nva19rb25hLWlvbmlxNSNlbGVrdHJvbW9zIiBvbmNsaWNrPSJqYXZhc2NyaXB0OndpbmRvdy5vcGVuKCdodHRwczovL2h5dW5kYWkuaHUvbW9kZWxsZWsvP3V0bV9zb3VyY2U9dmlsbGFueWF1dG9zb2tfa29uYS1pb25pcTUmdXRtX21lZGl1bT12aWxsYW55YXV0b3Nva19rb25hLWlvbmlxNSZ1dG1fY2FtcGFpZ249dmlsbGFueWF1dG9zb2tfa29uYS1pb25pcTUmdXRtX2lkPXZpbGxhbnlhdXRvc29rX2tvbmEtaW9uaXE1JnV0bV90ZXJtPXZpbGxhbnlhdXRvc29rX2tvbmEtaW9uaXE1JnV0bV9jb250ZW50PXZpbGxhbnlhdXRvc29rX2tvbmEtaW9uaXE1I2VsZWt0cm9tb3MnLCAnX2JsYW5rJywgJ25vb3BlbmVyJyk7IHJldHVybiBmYWxzZTsiPjxwaWN0dXJlPjxzb3VyY2Ugc3Jjc2V0PSJodHRwczovL3ZpbGxhbnlhdXRvc29rLmh1L3dwLWNvbnRlbnQvdXBsb2Fkcy8yMDI2LzAxL2h5dS1lZ3llYi1vbmxpbmUtdmlsbGFueWF1dG9zb2stYmFubmVyLWlvbmlxNWtvbmEtNjAweDUwMC12NC5qcGciIG1lZGlhPSIobWF4LXdpZHRoOiA3MDBweCkiPjxzb3VyY2Ugc3Jjc2V0PSJodHRwczovL3ZpbGxhbnlhdXRvc29rLmh1L3dwLWNvbnRlbnQvdXBsb2Fkcy8yMDI2LzAxL2h5dS1lZ3llYi1vbmxpbmUtdmlsbGFueWF1dG9zb2stYmFubmVyLWlvbmlxNWtvbmEtMTk0MHg1MDAtdjQuanBnIiBtZWRpYT0iKG1pbi13aWR0aDogNzAwcHgpIj48aW1nIHNyYz0iaHR0cHM6Ly92aWxsYW55YXV0b3Nvay5odS93cC1jb250ZW50L3VwbG9hZHMvMjAyNi8wMS9oeXUtZWd5ZWItb25saW5lLXZpbGxhbnlhdXRvc29rLWJhbm5lci1pb25pcTVrb25hLTE5NDB4NTAwLXY0LmpwZyIgYWx0PSIiPjwvcGljdHVyZT48L2E+
auto

Elektroszmog: mennyire veszélyesek a villanyautók?

A villanyautók kapcsán él egy olyan feltételezés, hogy az elektromos hajtás, meg az akkumulátorok miatt olyan magas az elektromos sugárzás mértéke, hogy az már káros az egészségre.

Ám tények, mért adatok ezt nem támasztják alá – sőt.

Mindent mértek

Véleménye persze mindenkinek lehet, de a német Sugárzásvédelmi Hivatal és az ADAC közös tesztsorozata inkább pontos adatokkal dolgozott, amikor 14 autót, köztük 11 elektromosat, 2 plug-in hibridet és egy belső égésű motoros testvérüket tesztelték le az elektroszmog szempontjából. Érdekes adalék, hogy az összehasonlítás kedvéért lemérték a szupergyors német intercity, az ICE vonatok mágneses sugárzását is mind az alsó, mind az emeleti utastérben, de melléraktak egy regionális személyvonatot és egy városi villamost is.

A méréseket egy 463 oldalas rendkívül részletes szakmai anyagban publikálták, amelyet itt lehet letölteni, mi most csak nagyon nagy vonalakban foglaljuk össze az eredményeket.

A mérés során az autók utasterének 10 pontjára helyeztek érzékeny műszereket, amelyek egy emberi testet voltak hivatottak szimulálni. A mágneses sugárzást áteresztő műanyag habba rakott mérőeszközök a lábfejet, a combot, a mellkast, vagy épp a fejet érő elektromágneses energia mértékét gyűjtötték be a vezető, az anyósülés és a hátsó bal, illetve jobb ülés pozíciójából, az adatokat pedig a csomagtérbe helyezett speciális eszközök dolgozták fel.

A méréseket elvégezték minden típussal egy 30 perces, a WLTC szabvány – a WLTP metódus része – szerinti próbapados úttal, de ezután kivitték az autókat a valós forgalomba is, ahol másfél órán át mentek egy előre kijelölt úton és egészen 120 km/h-ig gyorsítottak, illetve onnan fékeztek. (A kutatók által ismertetett német, amerikai és kínai szabványok egyébként maximum 40 km/h-val mérnek és van olyan is, ami lassítással, gyorsítással nem számol, így elmondható, hogy ez a tanulmány messze túlment azon, amit a hatóságok elvárnak).

Így alakul a Tesla Model 3 mágneses mezője gyorsítás (fent) és fékezés (lent) közben.

Hogy mennyi részletre kell odafigyelni, azt jól mutatja, hogy az érzékeny műszerek adatait még az is befolyásolja, hogy miből van az út burkolata, ezért ezt is figyelembe vették, mérték különböző felületeken.

Ha álló helyzetben lenyomják a fékpedált, az is látszik a műszereken, hiszen minden elektronikusan működik a modern autókban.

A kutatók több szabvány szerint is mértek, így megnézték, mekkora volt az elektromágneses sugárzás csúcsértéke (Bpeak), de az egészségügyi határértékek (ExpInd2010) függvényében is közreadták az adatokat. Utóbbi azért különösen fontos, mert a csúcsérték önmagában nem mond sokat, a sugárzás hatása ugyanis nagyban frekvenciafüggő.

Táblázatunkba a csúcsérték mellett az ICNIRP (Nem-Ionizáló Sugárzásvédelem Nemzetközi Bizottsága) 2010-es szabványa szerinti adatokat tüntettük fel a tesztsorozatból, amely esetében az 1 jelenti a megengedett maximális értéket, tehát ha valami 0,1, akkor ez ennek a tizede.

A szakirodalom szerint az ICNIRP által megszabott határértékek frekvenciafüggően lettek meghatározva, majd egy ötvenszeres védőernyőt alkalmaztak, azaz az elméletileg biztonságos érték ötvenedét szabták meg határértéknek, hogy bizonyosan ne legyen semmi káros az emberekre, ami ezen a vizsgálaton átmegy.

Ennek tükrében kell értelmezni az alábbi mért értékeket.

Maximális teljesítmény Haladás (állandó sebességgel) Gyorsítás Fékezés
kW max. BPEAK  [µT] max. ExpInd2010  [1] max. BPEAK  [µT] max. ExpInd2010  [1] max. BPEAK  [µT] max. ExpInd2010  [1]
Renault ZOE 100 2,65 0,01 4,96 0,09 15,2 0,16
Tesla Model 3 377 13,1 0,03 35 0,12 133 0,17
BMW i3 BEV 135 12,9 0,03 15 0,05 74,6 0,05
VW ID.3 150 6,03 0,02 16,9 0,02 23,7 0,04
Audi e-tron quattro 300 8,8 0,02 36,8 0,28 52 0,09
Peugeot e-208 100 5,73 0,02 5,01 0,01 16,4 0,2
Porsche Taycan 300 17 0,04 85,3 0,24 69,3 0,28
Aiways U5 150 14,9 0,03 15,2 0,04 40,3 0,1
Hyundai Ioniq 5 225 4,03 0,01 5,47 0,01 22,6 0,03
Fiat 500e 87 8,41 0,13 20,3 0,14 14,7 0,05
Opel Corsa Electric 100 6,04 0,03 5,31 0,03 40,9 0,49
Volkswagen Passat PHEV 85 8,63 0,04 11,6 0,05 17,5 0,03
Mercedes GLE 350 de 100 31,4 0,14 768 2,18 47,2 0,13
Opel Corsa (benzines) 74 19,6 0,06 16,6 0,15 35 0,21

A fenti táblázatból jól látszik, hogy a villanyautók állandó sebességű haladás közben a határérték 1-4 százalékát érik el – kivétel a Fiat 500e, amely 13 százalékot produkált, illetve egy plug-in hibrid, a Mercedes GLE 350 de, amely 14 százalékot ért el. De ezek az értékek is mesze elmaradnak attól, ami aggodalomra adna okot.

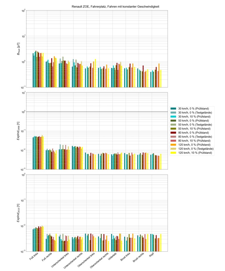
A Renault Zoe mért értékei állandó sebesség mellett.

Gyorsítás közben már némileg magasabb értékeket mértek, az összkerékhajtású Tesla Model 3 12, a Fiat 500e 14, a Porsche Taycan 24, az Audi Q8 e-tron pedig 28 százalékot ért el. Fékezésnél mérték a legmagasabb adatokat – érdekes, hogy pont egy viszonylag kis teljesítményű villanyautó, az elektromos Corsa ment fel egészen 49 százalékig, de még ez is az ötvenszeres biztonsággal meghúzott határérték fele.

A kutatók azt is hangsúlyozzák, hogy a legmagasabb értékeket a sofőr és az utas lábánál mérték ám a csúcsértékek csak pillanatokig és fizikailag egy szűk térben voltak kimutathatóak. Az autó utasainak fejénél jóval alacsonyabb értékeket mértek – a közel 500 oldalas eredeti anyagban erről is részletes adatok vannak.

Érdekes eredmények

A PDF-et végiglapozva kutatás részletei között több meglepő adattal és megállapítással is találkozunk.

Az ADAC és a hivatal szakemberei például azt is lemérték, hogy az autók álló helyzetben a különböző berendezések működtetése közben milyen értékeket mutatnak. Meglepő lehet, de miközben mindenki a villanymotor miatt aggódik, egyes típusoknál az ülésfűtés magasabb számokat produkált, mint a villanyhajtás, de jól látszottak a grafikonokon a lámpák bekapcsolásának, vagy a fékpedál lenyomásának eredményei is, hiszen ezek mind elektromos rendszerek.

A BMW i3 állóhelyzetben ilyen adatokat produkál. Fentről (bordó) lefelé a jelmagyarázat elemei: szellőzőrendszer, ülésfűtés, fényszórók bekapcsolása, ablakemelő, jármű kinyitása, jármű elindítása, fékpedál lenyomása álló helyzetben.

Az autók indításánál is megugrottak a mért adatok, ám ez is csak másodperc töredékére igaz, utána kisimultak a grafikonok.

A fentiek tudatában talán már kevésbé meglepő, de a kontrollként beállított benzines Opel Corsa is abszolút a mezőnybe simult, egy-egy mért értéke magasabb volt a táblázatban szereplő számos villanyautóénál.

A benzines Corsa adatai.

A táblázat azt is jól példázza, hogy a csúcsértékek (Bpeak oszlopok) önmagukban nem mondanak sokat, mivel egy-egy kiugró adat nem számít nagyon, ha az olyan frekvenciatartományban van, amire az emberi szervezet jóval kevésbé érzékeny (ExpInd2010).

A villanyautók között egyébként volt egy kínai modell is, de az Aiways U5 egyáltalán nem jelent nagyobb veszélyt, mint német vetélytársai.

Érdekes az is, hogy a mérések messze legrosszabb számát nem egy villanyautó, hanem egy dízel plug-in hibrid, a Mercedes-Benz GLE350 de produkálta, amely gyorsítás közben 768 uT értéket produkált, ami a határérték 218 százaléka volt. A mért adat kilencszerese például a Porsche Taycanénak.

Felül: a GLE 350 elektromos hajtással; középen: a dízelmotor beindításakor; alul: a dízelmotor beindítása után.

A grafikonok azt is megmutatják, hogy a kiugrás akkor történik amikor a villanyhajtás mellé bekapcsol az autó dízelmotorja is – erre valószínűleg nem sokan tippeltek volna előzetesen.

Baloldalt a labormérés, jobbra a valós tesztút eredménye a VW ID.3 esetében.

Az is tanulságos, hogy minden típusnál és szinte minden tesztszcenárióban jóval alacsonyabb értékeket mértek a WLTC szerinti próbapados beltéri tesztút során, mint amikor másfél órára elvitték az autókat egy valós tesztútra.

Relatív

A fenti eredmények úgy általában önmagukban is megnyugtatóak, de a kutatás készítői emellett folytattak méréseket alternatív közlekedési eszközök esetén is.

Így a cikkünk elején linkelt teljes anyagban van pár elektromos robogó és motorkerékpár is – ezek egyébként

az autóknál általában magasabb értékeket produkáltak.

Ez talán olyan szempontból nem meglepő, hogy a motoros sokkal közelebb van az elektromos berendezésekhez, tulajdonképpen a lába között vannak, míg az autósok jóval messzebb ülnek ezektől az elektromágneses teret generáló eszközöktől.

Az anyagban egyébként lemérték azt is, mekkora az elektromágneses sugárzás a szupergyors német intercity vonaton, egy regionális személyvonaton, illetve a városi villamoson is.

A jó hír, hogy természetesen ezek az eszközök is biztonságosak, de az ICE szerelvények utasterében mért határérték 14, illetve egy alkalommal 36 százalékát elérő sugárzás viszont abszolút összemérhető a villanyautókéval. Az értékek egyébként, értelemszerűen, az emeletes vonat felső szintjén voltak magasabbak, hiszen itt közelebb vagyunk a felsővezetékekhez is.

A helyközi személyvonat valamivel alacsonyabb értékeket produkált, az ExpInd2010 norma szerinti határérték 8 százalékát mérték gyorsításkor és lassításkor a felső szinten. A legnagyobb különbség a földszinti állóhely és az emeleti állóhely között volt, a szorzó tizenötszörös – de a legrosszabb érték is messze elmarad attól, ami miatt bárkinek aggódnia kellene.

Végül megmérték a kölni villamosokat is, bár az anyag készítői megjegyzik, hogy a rövid utak és a sok egyéb befolyásoló tényező, mint például egy az ellenkező irányba elhaladó másik villamos, vagy az egyéb rendszerek sugárzása nagyban nehezítették a feladatukat. Így sem mértek azonban a 2010-es norma szerinti határérték 6-7 százalékánál többet.

PGEgaHJlZj0iaHR0cHM6Ly93d3cudm9sdGllLmV1Lz91dG1fc291cmNlPXZpbGxhbnlhdXRvc29rJnV0bV9tZWRpdW09ZWxla3Ryb21vc2F1dG8mdXRtX2NhbXBhaWduPXJvdmF0IiBvbmNsaWNrPSJqYXZhc2NyaXB0OndpbmRvdy5vcGVuKCdodHRwczovL3d3dy52b2x0aWUuZXUvP3V0bV9zb3VyY2U9dmlsbGFueWF1dG9zb2smdXRtX21lZGl1bT1lbGVrdHJvbW9zYXV0byZ1dG1fY2FtcGFpZ249cm92YXQnLCAnX2JsYW5rJywgJ25vb3BlbmVyJyk7IHJldHVybiBmYWxzZTsiPjxwaWN0dXJlPjxzb3VyY2Ugc3Jjc2V0PSJodHRwczovL3ZpbGxhbnlhdXRvc29rLmh1L3dwLWNvbnRlbnQvdXBsb2Fkcy8yMDI1LzAyL3JvdmF0c3pwb256b3JpLWJhbm5lci11ai12b2x0aWUtMTMwMHg2MDAtMjAyNi0wMy0yNi0xLXNjYWxlZC5wbmciIG1lZGlhPSIobWluLXdpZHRoOiA3MDBweCkiPjxpbWcgc3JjPSJodHRwczovL3ZpbGxhbnlhdXRvc29rLmh1L3dwLWNvbnRlbnQvdXBsb2Fkcy8yMDI1LzAyL3JvdmF0c3pwb256b3JpLWJhbm5lci11ai12b2x0aWUtMTMwMHg2MDAtMjAyNi0wMy0yNi0xLXNjYWxlZC5wbmciIGFsdD0iIj48L3BpY3R1cmU+PC9hPg==

Biró Balázs

A fenntartható közlekedés elkötelezett híve, akit elsősorban a Tesla céltudatos és piacot felforgató tevékenysége rántott magával ebbe a világba, így publikációi elsősorban erre a területre koncentrálnak.
Összehasonlítás